Industry News

Cyclodextrin-Based Solutions for Solubility and Stability Enhancement

2025-12-23 - Leave me a message

Cyclodextrin-Based Solutions for Solubility and Stability Enhancement

Technical Overview of Hydroxypropyl Betadex and Betadex Sulfobutyl Ether Sodium

Cyclodextrins are widely recognized for their ability to improve the solubility and stability of poorly soluble or chemically sensitive compounds. Owing to their unique cyclic molecular structure, cyclodextrins and their derivatives have become important functional excipients across pharmaceutical, chemical, and related formulation fields. In response to increasing technical and regulatory requirements, Xi’an Deli Biochemical has further refined the technical documentation and product support for its key cyclodextrin derivatives: hydroxypropyl betadex (HPBCD) and betadex sulfobutyl ether sodium (SBECD).


Structural Characteristics and Functional Performance of Cyclodextrins

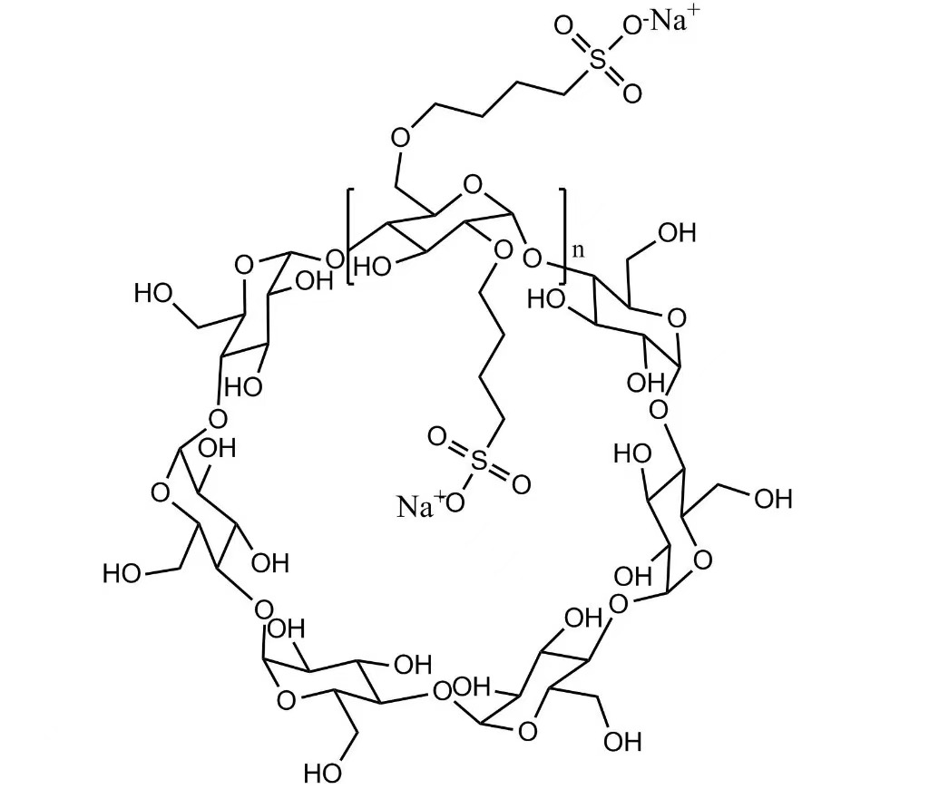
Cyclodextrins are cyclic oligosaccharides composed of glucose units linked by α-1,4 glycosidic bonds. Their molecular architecture features a hydrophilic outer surface and a relatively hydrophobic internal cavity, enabling the formation of inclusion complexes with a wide range of guest molecules. Chemical modification of the cyclodextrin structure can significantly enhance aqueous solubility and broaden application versatility.


Hydroxypropyl Betadex (HPBCD)


Hydroxypropyl betadex is a chemically modified β-cyclodextrin designed to overcome the limited solubility of native cyclodextrins. Its enhanced water solubility and favorable compatibility make HPBCD suitable for applications requiring effective solubilization, stabilization, and formulation flexibility across diverse systems.


Betadex Sulfobutyl Ether Sodium (SBECD)


Betadex sulfobutyl ether sodium is an anionic cyclodextrin derivative characterized by sulfobutyl ether substituents. This structure enhances electrostatic interactions with specific compounds, supporting improved solubility, complex stability, and formulation robustness in more demanding applications.

Standardized Product Information and Technical Support

To better support formulation development, quality evaluation, and procurement processes, Xi’an Deli Biochemical has systematically updated product information for HPBCD and SBECD, including:


  • Clearly defined and standardized product specifications and analytical parameters
  • Batch-specific Certificates of Analysis (COA) to ensure traceability and quality verification
  • Expanded technical FAQs addressing handling, storage, and typical application considerations
  • Optimized product summaries designed to facilitate efficient technical review and selection


These improvements are intended to enhance transparency, reduce evaluation timelines, and support consistent product performance throughout the supply cycle.


Manufacturing Experience and Quality Assurance

Established in 1999, Xi’an Deli Biochemical brings 26 years of experience in the manufacturing of cyclodextrin derivatives. The company focuses on the controlled production of hydroxypropyl betadex and betadex sulfobutyl ether sodium, emphasizing process consistency, batch-to-batch reliability, and long-term supply stability. Structured quality management practices support customers’ technical, regulatory, and sourcing requirements.


Application Scope and Technical Collaboration

Based on cyclodextrin inclusion and stabilization mechanisms, HPBCD and SBECD are applicable across multiple technical fields, including pharmaceutical-related formulations, specialty chemicals, veterinary products, and other systems requiring enhanced solubility and stability. Xi’an Deli Biochemical continues to engage with partners through application-focused communication and technical collaboration to support evolving formulation needs.


About Xi’an Deli Biochemical Industry Companies

Founded in 1999, Xi’an Deli Biochemical Industry Companies is a specialized manufacturer of cyclodextrin derivatives, supplying hydroxypropyl betadex (HPBCD) and betadex sulfobutyl ether sodium (SBECD) to global customers. With a long-standing focus on product consistency, clear specifications, and practical technical support, the company remains committed to providing reliable cyclodextrin-based solutions.


If you want, I can also:


  • Further optimize this for Google SEO (without reducing technical tone)
  • Condense it into a product-page “Technical Update” version
  • Adapt it for regulatory / quality-focused customers


Just tell me where you plan to publish it.


Send Inquiry


icon
X
We use cookies to offer you a better browsing experience, analyze site traffic and personalize content. By using this site, you agree to our use of cookies. Privacy Policy
Reject Accept